Rubber Accelerator TBSI
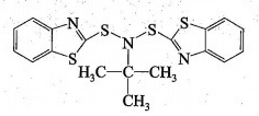
Chemical name: N,N-bis(1,3-benzothiazol-2-ylsulfanyl)-2-methylpropan-2-amine
Molecular formula: C18H17N3S4
Molecular weight: 403.61
CAS Number: 3741-80-8
Structure:
Specification:
Applications : TBSI will not generate the carcinogenic substance- nitrosamines which be known more secure from NOBS, DIBS and DZ under the same operation temperature. It can be used in NR, SBR, Butadiene rubber and IR,. Especially apply to the furnace black sizing material with strong acid, showing the much better activity than CBS and NOBS.
Package: 25kg plastic woven bag, paper with plastic film bag, kraft paper bag or jumbo bag.
Storage: The product should be stored in the dry and cooling place with good ventilation avoiding exposure of the packaged product to direct sunlight. The validity is 1years.
