Rubber Accelerator TBzTD
Chemical Name: Tetrabenzylthiuram disulfide
Molecular Formula: C30H28S4N2
Molecular Weight: 544
CAS NO: 10591-85-2
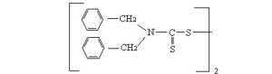
Structure:
Specification:
Properties: Pale yellow powder(granular).
Application: Developed to replace thiurams such as TMTD where the presence of nitrosamines is of concern The dibenzylnitrosamine is not carcinogenic according to published literature. A fast curing primary secondary accelerator in NR, SBR and NBR applications. Be safer to progress, providing longer scorch times than TMTD. Sometime used as retarder in the vulcanisation of PVC rubber.
Packaging: 25kg plastic woven bag, paper with plastic film bag, kraft paper bag.
Storage: The product should be stored in the dry and cooling place with good ventilation, avoiding exposure of the packaged product to direct sunlight. The product with pallet should not be stacked. Stacking of palletized material or temperature of above 35οC can cause unusual compacted product. The validity is 1 year.
